川南在线 发布时间:2024-02-19
新的一年,开工大吉!@找工作的你,泸州市2024年“春风行动”大型招聘会来了,拿上你的简历赶紧看过来。

组织单位
主办单位:
泸州市人力资源和社会保障局
泸州市交通运输局
泸州市农业农村局
泸州市卫生健康委员会
泸州市乡村振兴局
泸州市总工会
共青团泸州市委
泸州市妇女联合会
泸州市残疾人联合会
泸州市退役军人事务局
江阳区人民政府
承办单位:
泸州市就业服务管理局
泸州市人才服务中心
江阳区人力资源和社会保障局
协办单位:
重庆市江津区人力资源和社会保障局
重庆市永川区人力资源和社会保障局
云南省昭通市人力资源和社会保障局

你关注的招聘会信息在这里
活动主题
春风送岗促就业 精准服务助发展
活动时间
2月20日(农历正月十一)
星期二
招聘会:9:00-17:00
活动地点
泸州市江阳区华升南路
佳记酒广场
四川省泸州市江阳区华升南路与丽景路交叉口北140米
活动内容
1、现场招聘区:上百家用人单位现场招聘。
2、政策咨询区:就业创业、劳动保障等政策宣传。
3、职业指导咨询区:职业指导专家现场开展职业指导服务,为求职者答疑解惑。
4、直播带岗区:泸州市2024年“春风行动”启动仪式现场直播,企业HR直播带岗,招聘会现场采访,专家在线职业指导。
现场招聘岗位速看↓










另外还有直播招聘企业
四川恒力智能纺织科技有限公司
重庆亚润新胜大数据科技有限公司
泸州中酿酒业有限公司
四川圣融达容阻科技有限公司
四川麻辣空间餐饮管理有限公司……

扫码进入直播间,了解招聘信息。
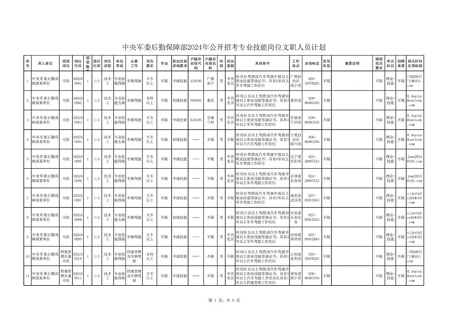
除了泸州这些企业招人,中央军委后勤保障部也公开招考专业技能岗位文职人员
报名时间为:2月20日8:00至2月25日18:00

点击图片或文末阅读原文查看公告详情↑
中央军委后勤保障部
2024年公开招考专业技能岗位文职人员计划








新的一年,祝你好运连连,开工大吉,我们一起加油!
(来源:泸州发布)
编辑:游江
关注川南在线网微信公众号
长按或扫描二维码 ,获取更多最新资讯
其他